B2 4ac Rules Complete Guide

Best Math Formula website. Search anything about Math Formula in this website.

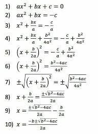
b2 4ac rules. A quadratic equation is an equation that can be written as ax ² bx c where a 0In other words a quadratic equation must have a squared term as its highest power. It is called the Discriminant because it can discriminate between the possible types of answer.

Math Formulas For School Students Math Formulas Highschool Math Methods High School Math Math Infographic
Math Formulas For School Students Math Formulas Highschool Math Methods High School Math Math Infographic from www.pinterest.com

First we bring the equation to the form ax²bxc0 where a b and c are coefficients. If b2 4ac then there are two real roots of ar. F o r m u l a Discriminant b 2 4 a c.

Say x 2 -1 is a quadratic equation.

What does this formula tell us. Previous section Problems Next page The Quadratic Formula page 2. 5x 1 0 has two real. A quadratic equation is an equation that can be written as ax ² bx c where a 0In other words a quadratic equation must have a squared term as its highest power.