Basic Formulas Of Maths For Class 8 Complete Guide

Best Math Formula website. Search anything about Math Formula in this website.

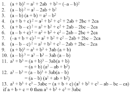
basic formulas of maths for class 8. Reciprocal or Multiplicative Inverse. CBSE Class 8 Maths Formulas available for Chapter wise on LearnCBSEin.

Geometry Formulas And Abbreviations Grade 7 8 Math Formulas Math Formula Sheet Maths Algebra Formulas
Geometry Formulas And Abbreviations Grade 7 8 Math Formulas Math Formula Sheet Maths Algebra Formulas from www.pinterest.com

You dont have to move further to search key terms related to the specific topic. When you are clear with the logic behind every formula solving any kind of problem become easier. A 1 a a 1 a.

Download the important maths formulas and equations to solve the problems easily and score more marks in your Class 8 CBSE ExamsVedantu is a platform that provides free CBSE.

For a Class 8 student it becomes difficult to understand the. If you have any query regarding Class 6 to Class 12 Maths Formulas drop a comment below and we will get back to you at the. We hope the Maths Formulas for Class 6 to Class 12 help you. As you see in this section math formula for class 8 there are little notes which will make you more clarity in understanding the terms around that particular topic.