Binomial Probability Formula Expected Complete Guide

Best Math Formula website. Search anything about Math Formula in this website.

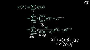
binomial probability formula expected. Correction for Continuity When you use a _____ normal distribution to approximate a binomial probability you need to move _____ unit to the _____ and _____ of the midpoint to include all. P probability of success in one trial.

Expected Value Solutions Examples Formulas Videos
Expected Value Solutions Examples Formulas Videos from www.onlinemathlearning.com

N X n. Use the formula for binomial probability. Mean and Variance of Binomial Distribution If p is the probability of success and q is the probability of failure in a binomial trial then the expected number of.

This formula is only applicable if the probability remains the same for the success and failure and You can only afford two outcomes called success and failure.

The probability of obtaining x successes in n independent trials of a binomial experiment is given by the following formula of binomial distribution. From beginning only with the definition of expected value and probability mass. In the main post I told you that these formulas are. Trials required argument This is the number of independent trials.