Binomial Probability Formula Explained Complete Guide

Best Math Formula website. Search anything about Math Formula in this website.

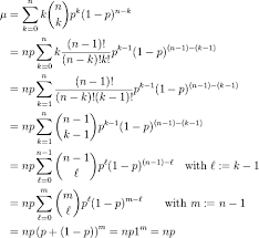
binomial probability formula explained. Ab 1 ab. The binomial distribution assumes a finite number of trials n.

Pin By Sarah Pierce On Educate Yourself Poisson Distribution Math Help Statistics
Pin By Sarah Pierce On Educate Yourself Poisson Distribution Math Help Statistics from www.pinterest.com

Ab 0 1. P k1-p n-k 077 1-0710-7 077 033 00022235661. N C x nx.

The formula can be understood as follows.

This means that the probability of success p does not change from trial to trial. HH heads 1st heads 2nd HT TH or TT. And the total number of those outcomes is. Textcfracpitimes textctext1-pitimes textc-text1textr Where p is the probability of an up move which in determined using the following equation.