How To Calculate The Average Rate Of Change From A Table Complete Guide

Best Math Formula website. Search anything about Math Formula in this website.

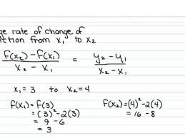
how to calculate the average rate of change from a table. C h a n g e i n o u t p u t C h a n g e i n i n p u t. Average rate of change.

Rate Of Change Math Interactive Notebook Math Notebooks Common Core Math
Rate Of Change Math Interactive Notebook Math Notebooks Common Core Math from www.pinterest.com

Find average rates of change using data in tables From LearnZillion Created by Suzanne Fox Standards. Displaystyle frac text Change in output text Change in input. Therefore A x 0.

Place the x-values into the formula.

F a f 2 2 2 9 2 4 18 -14. To find the average rate of change we divide the change in the output value by the change in the input value. F b f 7 7 2 9 7 49 63 -14. To calculate the average rate of change the average bicycle speed in Excel you can easily do as follows.