How To Derive Regression Formula Complete Guide

Best Math Formula website. Search anything about Math Formula in this website.

how to derive regression formula. Proved by taking the Hessian of equation 1 and evaluating it at the point given by 9 and 10. A 2417 23769 3775 15206 6 23769 3775 2.

Regression Basics
Regression Basics from faculty.cas.usf.edu

Proved by taking the Hessian of equation 1 and evaluating it at the point given by 9 and 10. The left hand side of the above equation is called the logit of P hence the name logistic regression. Derivation of linear regression equations The mathematical problem is straightforward.

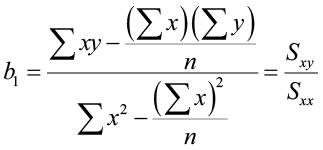
The equation for this regression is represented by.

Use the chain rule by starting with the exponent and then the equation between the parentheses. Derivation of linear regression equations The mathematical problem is straightforward. A linear regression equation takes the same form as the equation of a line and is often written in the following general form. Regress x1 on x2 without a constant term.