How To Derive The Formula Of Compound Interest Complete Guide

Best Math Formula website. Search anything about Math Formula in this website.

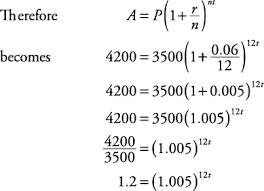
how to derive the formula of compound interest. Compound Interest Formula We are all well versed with the concept of interest. Compound Interest Amount Principal.

How To Calculate Compound Interest Compound Interest Simple Interest Interest Calculator
How To Calculate Compound Interest Compound Interest Simple Interest Interest Calculator from www.pinterest.com

222 Compound Interest Compound Interest. At the end of the second year you will earn 3 on the 103 beginning balance or 309 ending up with a balance of 10609. Yr 1 100 103 Yr 2 100 103 103 100 1032.

To understand the compound interest we need to do its Mathematical calculation.

Compound Interest Formula We are all well versed with the concept of interest. This is compound interest because you are earning interest on interest. In this video I show you how to derive the compound interest formula. 222 Compound Interest Compound Interest.