How To Find Mean Median And Mode In C Complete Guide

Best Math Formula website. Search anything about Math Formula in this website.

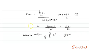
how to find mean median and mode in c. I only proved it right I didnt run it. Step 1 Add up all of the numbers in the set.

Ready To Watch A Dank Education Clip To Play This Video Titled Unix Terminals And Shells 1 Of 5 Will Leave You Wanting More In 2020 Educational Videos Video Unix
Ready To Watch A Dank Education Clip To Play This Video Titled Unix Terminals And Shells 1 Of 5 Will Leave You Wanting More In 2020 Educational Videos Video Unix from www.pinterest.com

Stack Overflow for Teams is a private secure spot for you and your coworkers to find and share information. As the vector is sorted the problem of finding the mode is equivalent to finding the longest consecutive run which can be solved far more efficiently than with a map. Int n 15number of elements in array fill in the value of array forint i0.

Mean Mode 3 Mean Median Mode can be useful for qualitative data.

Here is my code so far and i cant go any far more than this. Int main int array15. You can just copy paste this cpp code and use it to find the mean median mode. Start Step 1 declare function to calculate mean double meanint arr int size declare int sum 0 Loop For int i 0 and i size and i Set sum arri End return doublesumdoublesize Step 2 declare function to calculate median double medianint arr int size call sortarr arrsize IF size 2 0 return doublearrsize2 End return doublearrsize-12 arrsize220 Step 3 In main Declare int arr 352178 Declare int size sizeofarr.