How To Find The Distance Between Two Points With Fractions Complete Guide

Best Math Formula website. Search anything about Math Formula in this website.

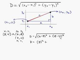
how to find the distance between two points with fractions. The slope of a line is the steepness of the line. We can use the Pythagorean Theorem to determine the distance d between the two points as follows.

Finding The Distance Between Fractions On Number Lines Is Fun With This Unit This Product Includes Everything Number Line 3rd Grade Math Teaching Third Grade
Finding The Distance Between Fractions On Number Lines Is Fun With This Unit This Product Includes Everything Number Line 3rd Grade Math Teaching Third Grade from www.pinterest.com

How to find the distance between two points Following is the distance formula and step by step instructions on how to find the distance between any two points. Instead of whole numbers though this map uses fractions. To find distance between points Ax_A y_A and Bx_B y_B we use formula.

How to enter numbers.

The slope of a line is the steepness of the line. How to find the distance between two points Following is the distance formula and step by step instructions on how to find the distance between any two points. Calculate X 2 -X 1 2. Instead of whole numbers though this map uses fractions.