How To Solve Nn1n254 Complete Guide

Best Math Formula website. Search anything about Math Formula in this website.

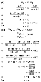
how to solve nn1n254. 181920 Sum is the addition of number so the sum of n n1 and n2 can be represented as nn1n257 3n357 3n54 n18 so our first integer is 18 n our second is 19 181 and our third is 20 182. Find the Numerical Answer to Equation - powered by WebMath.

Learn The Laws Of Indices Math Methods Learning Mathematics Math Tutor
Learn The Laws Of Indices Math Methods Learning Mathematics Math Tutor from www.pinterest.com

5x-213 plizz find it fast and tell. Identify what you are looking for. Get an answer for Solve for n if Cn246Cn2 and find homework help for other Math questions at eNotes Weve discounted annual subscriptions by 50 for Covid 19 reliefJoin Now.

Previous question Next question.

5x-213 plizz find it fast and tell. B3 - 6b2 11b - 6 0 b - 1b - 2b - 3 0. Assume it holds for n 1. Tumlog aacha se solve nhi karte ho Aage ye sab isliye likh rhe h kyunki isme question 50.