Latex Equation With Multiple Lines Complete Guide

Best Math Formula website. Search anything about Math Formula in this website.

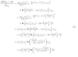
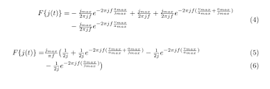
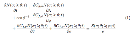
latex equation with multiple lines. Sometimes a long equation needs to be broken over multiple lines especially if using a double column export style. The breqn package is designed to split long equations automatically.

Draw A Red Box Around Certain Parts Of Multiple Lines Tex Latex Stack Exchange
Draw A Red Box Around Certain Parts Of Multiple Lines Tex Latex Stack Exchange from tex.stackexchange.com

Heres how youd write your example equation. If an equation is longer than one line or several formulas must be grouped together the eqnarray environment could be used. There are several ways to format multiple equations and the amsmath package adds several more.

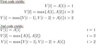
With R v302 64-bit Windows 7 RStudio 098490 knitr v15 when the code you provided above was copied and pasted into RStudio with no changes it produced two lines of equations.

The next lines contain only the equations and annotations I would like them aligned with the equation and annotation of the second line. It only takes a minute to sign up. With R v302 64-bit Windows 7 RStudio 098490 knitr v15 when the code you provided above was copied and pasted into RStudio with no changes it produced two lines of equations. That can be achieve in plain LaTeX without any specific package.