Mathematical Formula For Black Hole Complete Guide

Best Math Formula website. Search anything about Math Formula in this website.

mathematical formula for black hole. For people who work in this area of math the problem has been open for 90 years Emory University mathematician Ken Ono said. R s 2 G M c 2 295 M M S u n k m displaystyle r_ mathrm s frac 2GM c 2approx 295 frac M M_ mathrm Sun mathrm km.

Formulas Schwarzchild Radius Science Facts Physics Books Science Formulas
Formulas Schwarzchild Radius Science Facts Physics Books Science Formulas from www.pinterest.com

The size of a black hole as determined by the radius of the event horizon or Schwarzschild radius is proportional to the mass M through. Students calculate black hole sizes from their mass time and space distortion and explore the impact that black holes have upon their surroundings. Black Holes and Accretion Disk Temperatures 9-12 22 Falling into a Black Hole 9-12 23 Black Holes and Tidal Forces 9-12 24 Black Hole Fade Out 9-12 25 Gravity Probe-B Testing Einstein Again 9-12 26 The Lense-Thirring Effect 9-12 27 Estimating the Size and Mass of a Black Hole 9-12 28 The Pythagorean Distance Formula 9-12 29.

- 75 Mby 53 Problems A revised and expanded introduction to the basic properties of black holes using elementary algebra and geometry.

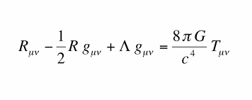
If the theory is to be believed then the curvature of spacetime is infinite within a black hole the black hole contains a singularityBut we dont know whether this is really true for black holes that exist in nature. This is often referred to as the BekensteinHawking formula. Displaystyle ell _ text P sqrt Ghbar c 3 is the Planck length. Here is the main equation for a black hole.