Mathematical Formula Of Life Complete Guide

Best Math Formula website. Search anything about Math Formula in this website.

mathematical formula of life. Time is the main factor in competitive exams. Decisions on closing costs rate and term penalties etc.

Don T Miss Rethinking The Work Life Equation And More 1mfwf Math Formulas Equations Mathematics
Don T Miss Rethinking The Work Life Equation And More 1mfwf Math Formulas Equations Mathematics from www.pinterest.com

Aap Sabhi in ganit Sutra ka PDF Niche diye huye download button par. The path of a stone thrown into the sky -- projectile -- follows a formula of mathematics. Basic mathematical concepts are followed all the time.

Here are experts.

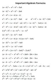
All types of mathematical formula are. Happiness Health Wealth Love. Few mathematical formulas are given in this page below. The more math you know the more you will use it to solve lifes problems.