Mathematical Induction Formulas For Jee Mains Complete Guide

Best Math Formula website. Search anything about Math Formula in this website.

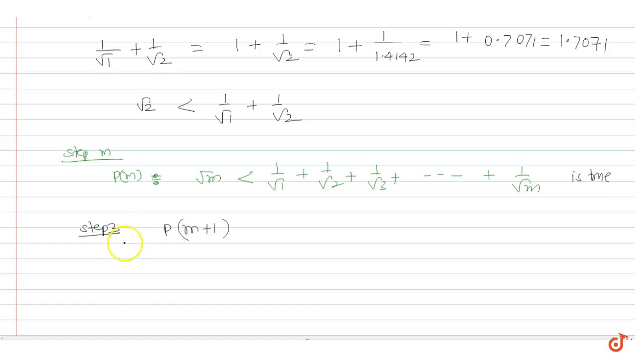
mathematical induction formulas for jee mains. The reason comes from Mathematical Induction. Sets Relations and Functions PDF Notes Important Questions and Synopsis.

Pin On Formula
Pin On Formula from www.pinterest.com

So P1 is true. The statement you want to prove. Principle of Mathematical Induction - L1 Class 11 Maths JEE Mains Advanced VedantuIn todays session you will learn JEE Mains Advanced topic Princ.

If 1 axn 1 8x 24x2 then the value of a and n are _____.

List of Important Formulas for JEE Mains Chemistry formulas. JOIN OUR TELEGRAM GROUP Active Users. Let n k and solve. All the subject and their corresponding chapters are listed below.