Mathematical Logarithm Examples Complete Guide

Best Math Formula website. Search anything about Math Formula in this website.

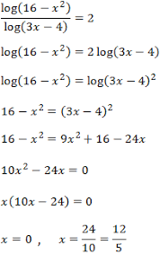
mathematical logarithm examples. In addition to the three most popular logarithmic functions introduced earlier one can also define logarithm using other valid bases as well. They allow us to solve hairy exponential equations and they are a good excuse to dive deeper into the relationship between a function and its inverse.

Algebra Ii For Dummies Cheat Sheet For Dummies Studying Math Math Methods Algebra
Algebra Ii For Dummies Cheat Sheet For Dummies Studying Math Math Methods Algebra from www.pinterest.com

In addition to the three most popular logarithmic functions introduced earlier one can also define logarithm using other valid bases as well. Or the base-2 log of 8 is 3. Log 7 x 2 log 7 x 3 log 7 14.

For example the distance to the nearest star Proxima Centauri measured in kilometers is 40 113 497 200 000 kilometers.

The logarithm of a positive real number can be negative zero or positive. 3 2 9 log 3 9 2. For example the distance to the nearest star Proxima Centauri measured in kilometers is 40 113 497 200 000 kilometers. This is a set of 9-column known as the mean difference which can be found written above the columns.