Mathematics Formula Class 8 Ncert Complete Guide

Best Math Formula website. Search anything about Math Formula in this website.

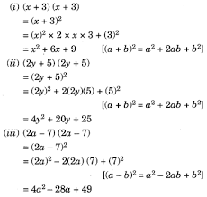
mathematics formula class 8 ncert. At this platform each and every math formula up to class 12th are available. At Vedantu you can find the formulas of NCERT CBSE Maths for Class 8 students.

Ncert Solutions For Class 8 Maths Chapter 11 Mensuration Ncertsolutions Ncertclass8mathssolutions Class8maths Learncbse Math Class 8 Math Vocabulary
Ncert Solutions For Class 8 Maths Chapter 11 Mensuration Ncertsolutions Ncertclass8mathssolutions Class8maths Learncbse Math Class 8 Math Vocabulary from in.pinterest.com

Class 8 formulas in Maths are segregated into two types here which are Geometry formulas and Algebra formulas. Our motto is to develop ignited minds. Chapter 1 Rational Numbers Class 8 Maths.

For Board exams as well as JEE Mains and Advance you can take a look on these formulas.

Dcetancertnicin 011 2696 2580 NCERT Sri Aurobindo Marg New Delhi-110016. Our motto is to develop ignited minds. Most of the time students feel nervous during their exams. Class 8 Maths Formulas List.