Ncert Math All Formula Complete Guide

Best Math Formula website. Search anything about Math Formula in this website.

ncert math all formula. Download the important Maths Formulas and equations PDF to solve the problems easily and score more marks in your Class 12 Maths CBSE Board Exams. Maths Formulas are created by expert teachers from latest edition books.

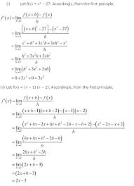
Ncert Solutions For Class 11 Maths Chapter 13 Limits And Derivatives 8 Ncertsolutionsforclass11maths N Maths Ncert Solutions Maths Solutions Studying Math
Ncert Solutions For Class 11 Maths Chapter 13 Limits And Derivatives 8 Ncertsolutionsforclass11maths N Maths Ncert Solutions Maths Solutions Studying Math from www.pinterest.com

Class 9 Math Formulas Tables When you are clear with the logic behind every formula solving any kind of problem become easier. Cumference of circle r - radius of circle Where 2 are constants. You are the right place to get all information about Polynomials Class 9 maths chapters 2.

While C and r are variable.

Polynomials formulas play a vital role in preparing you for. Cumference of circle r - radius of circle Where 2 are constants. All the topics are based on the CBSE curriculum and strictly follows the NCERT pattern. Download the important Maths Formulas and equations PDF to solve the problems easily and score more marks in your Class 10 CBSE Board Exams.