What Is B In A Recursive Formula Complete Guide

Best Math Formula website. Search anything about Math Formula in this website.

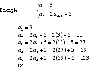
what is b in a recursive formula. Recursive formulas must always state the initial term or terms. The recursive definition for generating Fibonacci numbers and the Fibonacci sequence is.

Using Formulas For Arithmetic Sequences College Algebra
Using Formulas For Arithmetic Sequences College Algebra from courses.lumenlearning.com

Power of a function represented by I n in terms of an. Bn 5n - 2 Recursive formula. Khan Academy is a 501c3 nonprofit organization.

RECURSIVE METHODS Thus we conclude that a n a n 1 a n 2.

One of the most fascinating things about the Fibonacci numbers is their connection to nature. Find the value of k given the graphs. Fn fn-1 fn-2 where n3 or n3. Using a computer program we can compute a n for the larger values of n.