What Is The Binomial Formula Complete Guide

Best Math Formula website. Search anything about Math Formula in this website.

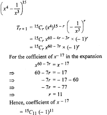
what is the binomial formula. The larger the power is the harder it is to expand expressions like this directly. The Probability Mass Function Calculates the probability of there being exactly x successes from n independent trials.

Quadratic Formula Binomial Expansion Other Expansions Quadratic Formula Binomial Expansion Other Quadratics Quadratic Formula Mathematics Worksheets
Quadratic Formula Binomial Expansion Other Expansions Quadratic Formula Binomial Expansion Other Quadratics Quadratic Formula Mathematics Worksheets from www.pinterest.com

Created by Sal Khan. The binomial theorem which is occasionally known as binomial expansion is the most common method which is used in statistics as a simple formula. The larger the power is the harder it is to expand expressions like this directly.

The binomial theorem which is occasionally known as binomial expansion is the most common method which is used in statistics as a simple formula.

Success with probability p or failure with probability q 1 p. The binomial theorem which is occasionally known as binomial expansion is the most common method which is used in statistics as a simple formula. A binomial distribution is the probability of something happening in an event. The second variable p represents the probability of one specific outcome.