What Is The General Formula Of Boyles Law Complete Guide

Best Math Formula website. Search anything about Math Formula in this website.

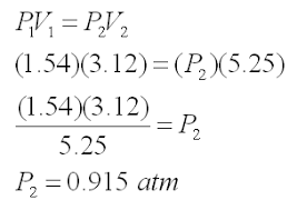
what is the general formula of boyles law. Boyles law states that for a fixed amount of gas at a constant temperature the volume of the gas is inversely proportional to the pressure of the gas. Boyles law is an ideal gas law where at a constant temperature the volume of an ideal gas is inversely proportional to its absolute pressure.

Boyle S Law And Charle S Law Siyavula Textbooks Grade 11 Physical Science Openstax Cnx
Boyle S Law And Charle S Law Siyavula Textbooks Grade 11 Physical Science Openstax Cnx from cnx.org

Please solve these numerical by boyles and charles law 1A gas occupies 3 litres at 0C. The vapour pressure of water at 9C is 9 mmans7159 cc 3. For a gas the relationship between volume and pressure at constant mass.

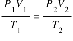
This formula is derived from the ideal gas law equation.

K constant which is equals to RTP where R is the universal gas constant T is temperature in Kelvin and P is the. N the amount of substance of the gas in moles. A modern statement of Boyles law is. K constant which is equals to RTP where R is the universal gas constant T is temperature in Kelvin and P is the.