What Is The General Formula Of Newton Raphson Method Complete Guide

Best Math Formula website. Search anything about Math Formula in this website.

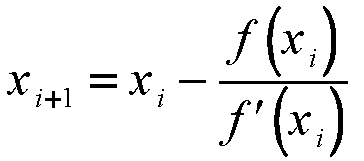
what is the general formula of newton raphson method. Newton Raphson Method Steps. To know more about applications of Newton raphson Method please visit Newtons Method on Wikipedia.

Newton S Method Knowino
Newton S Method Knowino from www.theochem.ru.nl

We can also derive this formula by using Taylors Theorem. The NewtonRaphson method was derived under the assumption that fx 0 implying in particular that fa 0. Newton-Raphson Method One Numerical Method For Calculating The Root Of An Equation Is Called Newton-Raphson Method.

Also it can locate roots repeatedly because it does not clearly see changes in the sign of f x explicitly.

The Solution Process Starts By Choosing A Value Xi As A First Estimate Of The Solution. Solve the equation logxcosx where the root lies between 1 and 2. F x 0 f x 0. F x 0.