How To Solve Quadratic Equations 2 Variables Complete Guide

Best Math Formula website. Search anything about Math Formula in this website.

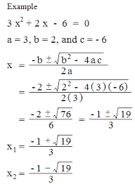
how to solve quadratic equations 2 variables. Ax 2 Bx C 0. In two variables the general quadratic equation is ax2 bxy cy2 dx ey f 0 in which a b c d e and f are arbitrary constants and a c 0.

How To Solve Quadratic Equations Solving Quadratic Equations Quadratics Quadratic Equation
How To Solve Quadratic Equations Solving Quadratic Equations Quadratics Quadratic Equation from www.pinterest.com

-b - sqrtb2 - 4ac2a Specify the variable to solve for and solve the quadratic equation. Therefore the two solutions are. Now we will graph equations of the form yax2bxcyax2bxc.

Learn about quadratic equations using our free math solver with step-by-step solutions.

Quadratic Equation in Two Variables. Hence x 0 or x 16 0. Now we will graph equations of the form yax2bxcyax2bxc. Factoring using the quadratic formula and completing the square.